Kapil Arora
Semiconductors Hardware Engineer providing tutoring classes in Mathematics focused on fundamentals and basics [first principles].
Loading...



Show all photos
Kapil Arora
Bachelors degree
Enroll after the free trial
Each lesson is 55 min
50 lessons
20% off
/ lesson
30 lessons
15% off
/ lesson
20 lessons
10% off
/ lesson
10 lessons
5% off
/ lesson
5 lessons
-
/ lesson
1 lessons
-
/ lesson
Kapil - Know your tutor
Myself Kapil Arora, I am a BITS Pilani graduate in Electronics and Electrical Engineering and currently working as an Analog Engineer in the Semiconductor industry. I offer personalized learning experiences in a wide range of subjects including Probability, Geometry, Calculus, Algebra and almost all mathematics topics for middle school, high school, elementary school and college students. My teaching style includes innovative methods focusing on the depth of approach (first principles). I like to teach mathematics and have tutored numerous students who have aced almost all competitive examinations. My students confidence gets boosted after my classes and there mathematics performance and scores improve a lot. I focus also on problem solving and practicing as practice makes a man perfect. Let's get started and conquer mathematics together!
Meet Kapil
Kapil graduated from BITS Pilani

Specialities of your tutor
Math Tricks and Hacks
A-Levels (UK)
Problem Solving
Test prep strategies
Provincial-specific curriculum (CA)
Test Strategy
International Baccalaureate (IB)
Australian Curriculum (AU)
Practice Drills
Student types for classes
High School students
Anxiety or Stress Disorders
Learning Disabilities
College students
Home schooled
Middle School students
ASD
Elementary School students
ADHD
Class overview
My approach is focused on fundamentals and basics [first principles] as I believe these are foundational to a person's overall understanding and knowledge about a topic. I know fundamentals and basics are foundational to a person's knowledge and hold over any particular topic/subject and my focus is to develop fundamentals of students. My approach is very simple and focusing on the basics - the understanding about a topic has to be so deep that student does not have to remember any formulas/words/topics. It needs to be ingrained in the mind with a level of deep understanding such that there is no need for remembering. I integrate practice drills and question solving to build concepts within the live class to make the concepts engrained into the mind of the student. My live class includes Google meet and interactive whiteboards to make the most of the live lessons and explain students doubts and questions on the fly. And also clearly follow the students' approach to problem solving observing the minute details and correcting the students' approach for the best results and performance. Let's get started and boost your Mathematics scores.
Kapil also teaches
Algebra
Arithmetic
Calculus
Discrete Math
Elementary School Math
Geometry
Flexible Scheduling
Allows 1h early scheduling
Allows 1h early rescheduling
Can wait for 20 mins after joining

10 day Refund
Free Tutor Swap

Mathematics concepts taught by Kapil
The student and tutor reviewed concepts of derivatives and integrals, including the meaning of first and second derivatives, finding tangent lines, and area under the curve. They worked through various problems, focusing on techniques like the chain rule and integration by substitution. The tutor recommended redoing the problems to solidify understanding.
Derivatives as Slope and Rate of Change
Integration and Area Under the Curve
Finding Maxima and Minima Using Derivatives
Chain Rule Application
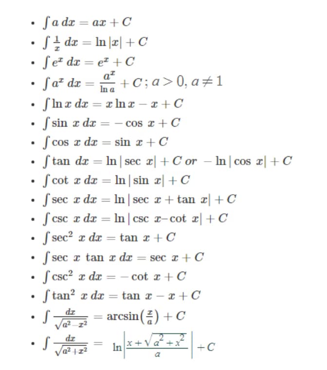
Integration Techniques and Trigonometric Functions
The student and tutor worked through several math problems covering kinematics (velocity-time graphs and displacement), algebra (parabola equations, simplifying expressions with negative exponents), and calculus (estimating area under a curve using rectangles). They also discussed a conceptual problem about volumes of revolution. The session concluded with a plan to continue discussions on the next Wednesday.
Interpreting Velocity-Time Graphs
Equation of a Parabola with Vertex Form
Simplifying Algebraic Expressions with Negative Exponents
Volume of a Solid of Revolution (Cylinder)
Estimating Area Under a Curve using Rectangles
Teaching tools used by tutor
Graphing Tools
Digital whiteboard
Quizzes
Practice worksheets
Assessment
Interactive lessons
Record lessons
Pets are welcomed
Note taking
Parent feedback
Open Q&A

Math tutors on Wiingy are vetted for quality
Every tutor is interviewed and selected for subject expertise and teaching skill.
